Результатов: 103

Энергоэффективные мероприятия в садиках и школах позволили за прошлый год сэкономить 100 миллионов гривень – КГГА

Одной из приоритетных задач Стратегии развития города Киева является эффективное использование энергетических ресурсов и внедрение энергосберегающих и экологических технологий. unian.net »

2019-4-10 17:48

Детей в садиках кормили поддельным сливочным маслом

Правоохранители изъяли из 135 детских садов Николаева, Одессы и Херсона фальсификат сливочного масла. Содержит свыше 99% немолочных жиров. В составе нашли свиное сало, пальмовое, рапсовое и соевое растительные масла. gazeta.ua »

2019-3-1 07:35

В черкасских садиках корью заболела воспитательница и трое детей

Три ребенка и воспитатель детского сада заболели корью в Черкассах. Об этом сообщает местный портал "18000". "Двое детей заболели в 78-м садике, один ребенок - в 21-м. В 46-м саду корью заболела воспитательница. ukranews.com »

2019-2-13 09:25

Министр образования хочет лишить детей-киевлян приоритетности обучения в садиках столицы - нардеп

Советник мэра Киева предлагает министру взять ответственность за финансирование дошкольного образования Киева. unian.net »

2019-1-22 22:23

Нардеп: министр образования хочет лишить детей-киевлян приоритетности обучения в садиках столицы

Министр образования Лилия Гриневич просит мэра Киева Виталия Кличко лишить детей-киевлян приоритетности обучения в детских садиках столицы. kievvlast.com.ua »

2019-1-22 20:42

МОН просит пересмотреть решение КГГА о платных садиках для некиевлян

Минобразования обратилось к КГГА с просьбой пересмотреть решение о том, что обучение в детсадах столицы будет платным для незарегистрированных детей. telegraf.com.ua »

2019-1-20 19:02

Вспышка кори: В селе на Одесчине объявили карантин в школах и садиках

19 декабря Минздрав сообщил о 16-м случае смерти от кори за 2018 год - в Одессе от осложнений болезни умер ребенок в возрасте 1 год и 3 месяца. В начале 2019 года школьников Луцка и Одессы отправили на карантин из-за высокой заболеваемости корью, гриппом и ОРВИ среди детей. news.yandex.ua »

2019-1-20 18:02

"Ограничивает конституционные права детей": Гриневич обратилась к Кличко из-за оплаты в садиках

Министр образования Лилия Гриневич обратилась к мэру столицы Виталию Кличко с просьбой пересмотреть решение Киевского городского совета о платном обучении для детей без столичной регистрации в коммунальных садиках города. 24tv.ua »

2019-1-20 16:16

В киевских садиках, школах и больницах уже могут включать отопление

Киевская городская государственная администрация (КГГА) поручила теплоснабжающим компаниям начать подключение системы отопления объектов социальной сферы с 5 октября. Об этом говорится в распоряжении КГГА №1798 от 5 октября, передают Українськi Новини. "Руководителям теплоснабжающ ukranews.com »

2018-10-8 18:37

Каменчане требуют остановить принудительные «благотворительные взносы» в школах и садиках

Каменчанка считает, что настало время запретить принуждать родителей платить «благотворительные взносы» наличными в школах и детсадах Каменского. 5692.com.ua »

2018-10-1 13:09

Минобразования объяснило, когда возможны платные услуги в школах и садиках

Государственные и коммунальные учебные заведения могут оказывать платные услуги в сфере здравоохранения, отдыха, досуга, оздоровления, туризма, физической культуры и спорта и организовывать платные концертно-зрелищные мероприятия. pravda.com.ua »

2018-9-3 12:21

За учащимися в столичных садиках и школах уже следят 2178 камер видеонаблюдения

Департамент информационно-коммуникационных технологий Киевской горгосадминистрации (КГГА) по состоянию на 13 июня 2018 года установил в 1004 столичных учебных заведениях 2178 камер видеонаблюдения. kievvlast.com.ua »

2018-6-14 18:02

Энергия солнышка: как в бердянских садиках экономят электроэнергию, - ФОТОРЕПОРТАЖ

В Бердянске большинство садиков уже нагревает воду с помощью солнечных коллекторов. А еще там обновили кухонное оборудование 061.ua »

2018-4-14 19:45

Интерактивная песочница и "живой пол". У Кличко рассказали о современных киевских садиках

В дошкольном заведении внедрены все самые передовые методики обучения и воспитания детей. glavred.info »

2018-4-13 12:14

Киевсовет согласился с необходимостью родительского контроля за ремонтами в школах и садиках

Столичный горсовет принял за основу проект решения депутата Аллы Шлапак, предполагающий, что ремонты в школах и садиках будут на всех этапах контролироваться родителями. Планируется, что документ будет еще немного доработан и может быть окончательно утвержден на заседании Киевсовета 12 апреля. kievvlast.com.ua »

2018-3-24 17:27

Что обнаружила городская комиссия, проверявшая качество питания в школах и садиках Кривого Рога

В Кривом Роге городской комиссией проверено 18 учебных учреждений с целью контроля качества питания детей. Как сообщили в пресс-службе горисполкома, комиссия работает с февраля месяца. Главная зада 0564.ua »

2018-3-28 17:27

Как и кто будет кормить детей в садиках - решали в горсовете, - ФОТО

В последнее время, в Николаеве вопрос о питании детей в садиках стоял довольно остро. 13 марта комиссия по вопросам образования, рассматривала вопрос о вынесении на сессию проекта о переходе садиков н 0512.com.ua »

2018-3-14 09:48

За качество питания в школах и садиках “спросят” с глав РГА

Районные управления образования должны разрывать договоры с недобросовестными компаниями-поставщиками продуктов питания в детские сады и с обслуживающими школы предприятиями. kievvlast.com.ua »

2018-3-6 14:00

Из-за морозов и снега в Одессе отменяют занятия в школах и садиках

Завтра, 27 февраля, в связи с ожидаемым снегопадом и морозом, занятия в одесских школах и детсадах будут отменены. Такое решение сегодня приняла комиссия по технико-экологической безопасности Одесско 048.ua »

2018-2-26 11:24

Каменчане просят установить онлайн видеонаблюдение в школах и садиках

В пятницу, 23 февраля, на сайте Единых местных петиций появилась просьба каменчанина Андрея Цыбулькина установить онлайн видеонаблюдение в школах и садах Каменского. По мнению автора петиции, у 5692.com.ua »

2018-2-24 18:27

Итоги 22 февраля в Запорожье: истории о Поляке, в каких садиках делали ремонт из бюджета и зачем ОБСЕ крестный ход УПЦ МП

061 подводит итоги четверга, 22 февраля, в Запорожье и области Вчера мы опубликовали архивные фото: 15 лет назад в Запорожье тысячи людей пришли проститься с Александром Поляком. Также на сайте. 061.ua »

2018-2-23 09:24

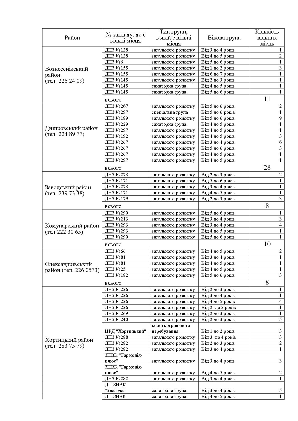
Какие ремонты сделали в запорожских садиках в 2017 году за счет бюджета: список и суммы

Ищите в списке детсад, в который ходит ваш ребенок В Запорожье в 2017 году из бюджета города потратили 6 миллионов гривен на капитальные ремонты и реконструкцию детсадов, а также 3,8 миллиона гривен. 061.ua »

2018-2-23 20:11

В Крыму детей в школах и садиках кормят молочным фальсификатом

В пробах молочной продукции, поставляемой в детсады, школы и детские лагеря Крыма, специалисты продолжают выявлять растительные жиры и антибиотики. Об этом рассказал председатель оккупационного "Государственного комитета ветеринарии" аннексированного полуострова Валерий Иванов, сообщает "Крым. 24tv.ua »

2018-1-24 01:24

В Чернигове нашли причины, почему дети в садиках и школах болеют простудой

Чтобы минимизировать вероятные появления ОРВИ в детских коллективах, специалисты ГУ «Черниговский областной лабораторный центр министерства здравоохранения Украины» проанализировали фактор 0462.ua »

2018-1-23 15:00

В садиках и школах Каменского отремонтируют дорожное покрытие

В 2018 году городские власти запланировали отремонтировать асфальтное покрытие на территории ряда школ и детских садов в Каменском. Узнай, какие 16 января 2018 года Департамент ЖКХ Каменского городс 5692.com.ua »

2018-1-23 16:15